

Laser B1 20W 30W user manual V0 20240105.pdf - Google 云端硬盘

The machine step-by-step assembly process is described in the document “LASER B1 Quick Start Guide”. Please follow the guide to assemble machine.
• During the machine assembly, if there is any unclear place, please refer to the video “LASER B1 Quick Start Guide”.
• Each unit of the engraving machine has been inspected and tested. Therefore, in some cases, very small traces may be left on the profile and the metal shell. These will not affect the quality. It is normal that it does not affect normal engraving. Thank you very much for your understanding.
• Be cautious during assembly as some parts may have sharp edges.
• If you have any questions after receiving the product, please contact our customer service first.
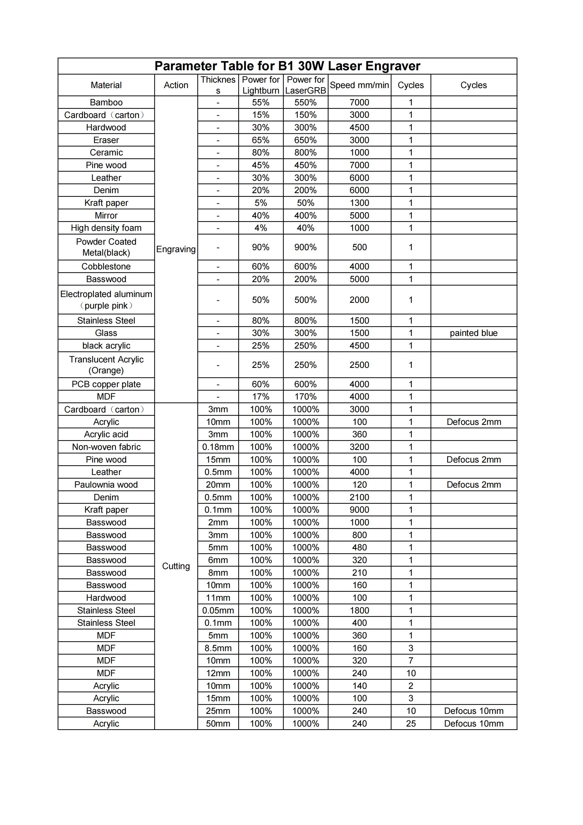
Question 1: Are there recommended engraving and cutting parameters?
Please refer to the table “LONGER Laser Engraver Material Profiles” which describes the common materials engraving and cutting parameters for LASER B1.
If there is no information you need. Please wait for our updates in the future.
Question 2: The engraved pattern appears vibration, or is not closed?
· Adjust the eccentric nut to make the parts move smoothly without shaking.
· Re-tension the timing belt.
· Adjust the synchronous wheel to prevent the synchronous belt from rubbing against the side of the synchronous wheel during movement.
Question 3: How about the warranty policy?
For LONGER official stores and LONGER designated distributors, LASER B1 has a One-year International Limited Manufacturer warranty from the date of purchase of LASER B1.
Please note the following warranty terms. One-year International Limited Manufacturer Warranty means that LONGER will provide the following free warranty services:
• Diagnostics and Evaluation.
• Technical Support.
• Replacement Parts under Warranty terms.
How to handle a warranty case:
Any warranty case must be submitted to our official support channels (Email: support@longer.net). In case the product was bought from a reseller, contact us first so that we can help you diagnose the problem, then turn to your reseller for spare parts if needed.
Documentation needed for a warranty case:
. Machine purchase order number and channel, nameplate number on the machine.
. A brief description of the problem along with the clear evidence of its presence (e.g., photos or videos).
. On the initial contact for customer support further tests and diagnostic steps might be required to identify the cause of the problem.
. Some parts of the LASER B1 inevitably “get used up” over time. For these parts, specific conditions apply, unless failure has occurred due to a defect in materials or workmanship.

Note:
· The warranty does not cover normal, expected wear and tear caused by using the LASER B1 for its intended purpose.
· In case we have provided a free replacement part, the warranty does not reset. The original warranty period still applies. This warranty is voided by:
· Any damages caused by improper assembly of the product.
· Any damage caused by improper use, maintenance, or operation of the engraver.
· Any damage caused by long-term lack of maintenance.
· Using the LASER B1 in improper conditions (temperature, dustiness...).
· Upgrades, modifications, or add-ons that are not officially supported. Our Technical Support Team is always available to help you out under any circumstances, even if the issue is not covered
under warranty.
Question 4: How to maintain LASER B1 laser module?
LASER B1's lasers are carefully designed to resist stains, but after long-term use, there may still be dust and grease on the laser hood, air guide, and even the lens. This will affect the appearance and performance. It is recommended to clean the laser regularly to keep it in good performance. You need to perform the following steps to clean the laser.
Preparation: hex wrench, non-woven fabric, alcohol/isopropanol solution.
Start:
. Remove the laser hood and air guide
. Dip a little alcohol/isopropyl alcohol solution with a non-woven fabric
. Carefully wipe the laser lens with a non-woven fabric
. Reinstall the laser hood and air guide
Warning: Excess solution may immerse inside the laser and cause damage to the laser.

Question 5: How to solve alarm 2 error or hard limit?

It adds two limit switch in LASER B1 laser engraver, the firmware has hard limit and soft limit features to locate the laser module position precisely. The position of the laser module is assumed to be the home position by default when powered on. So the engraver will trigger the alarm 2 or hard limit error if the laser head is moved in the X or Y negative direction at this time. Then it needs to home the engraver as shown in the picture below.

Question 6: How to solve the upload error of the APP?
To use APP for engraving, it needs to insert the SD card into the motherboard firstly to ensure that the data can be received normally; otherwise it will prompt upload error.
Thank you for purchasing LONGER products! Under normal usage and service, the products and its parts have a warranty period up to one year. Our professional after-sale service would respond within 24 hours and help you to solve the issues.

(1) Power On
a) Find the adapter and power cable and connect them. Please Make sure to use DC 24V 5A and 7.5A adapters for 20W and 30W respectively.
b) Connect the power cord to the power supply and connect the other end of the adapter to the power port of the motherboard.
c) Connect the computer and the engraving machine through a USB computer (or insert a Micro SD card).
d) Turn ON your LASER B1 by press the power switch (To Turn OFF your LASER B1 by press the power switch once again.)
LaserGRBL is an easy-to-use and fully free software for laser engraver only running on Windows. Download
a) Find LaserGRBL software in attached SD card(path:/software), Or download from the link:
https://lasergrbl.com/download/
b) Double-click the software installation package to start the software instalation, and keep clicking Next>until theinstallation is complete.

c) After installing laserGRBL, power up the LASER B1, press the
power switch button, and connect the laser engraver and
computer via USB cable.
Usage
a) Open LaserGRBL, select correct port(depend on your PC), baud rate: 115200. Then click connect button.

b) If you cannot find correct port, please install CH340 driver manually by click Menu >> Tools >> install CH340 Driver to install the driver, and restart the computer after installation to connect.


More help information about LaserGRBL, please refer to the link:
https://lasergrbl.com/usage/0
LightBurn is professional software for engraver, a charging software running on Windows, MacOS, and Linux. It provides a trial period.
You could pay for it afterward if you like it.
Setup
a) Find Lightburn software in SD card(path:/software) came with the package. Or just download from the link:
https://lightburnsoftware.com/download/

b) After installing Lightburn, power up the LASER B1, press the Power Switch button, and connect the laser engraver and computer via USB cable.
c) For the first time launching LightBurn, it will prompt a 'New Device Wizard' for help you setup machine. Click 'Import'.

d) Select the 'LONGER B1 20W-30W.lbdev' file in the sd card and click 'open'.

e) Click the 'ok' button.

f) Select 'Edit' on the task bar, select 'Settings', select mm/min as the unit, and click the 'OK' button.

g) Turn on the 'Enable DTR signal', 'Enable laser fire button' and'Laser on when framing' functions, and set the S-value max to 1000. Click the "ok" button.

Usage
a) Main interface

b) Select correct port (depends on your PC), then the LASER B1 is connected to the computer.

c) Click Menu “File” >> “Import image from disk.” Or just use draw tool on left column to design your own pattern.

d) Set the name, speed, maximum power, mode, and other parameters in the cutting/layer; (engraving function and cutting function are only different in speed, power. Normally, the cutting speed parameter is slower).
e) After placing the board under the laser, click Frame to check the laser path whether is completely inside of the board.
f) Click “Start” to start to work.

g) Or you can save gcode file to SD card by click “Save GCode” button in Laser panel for offline working

More help information about LightBurn, please refer to the
link: https://lightburnsoftware.com/pages/tutorials
h) Function description
Cut Setting Editor


LASER B1 can be controlled or engraved through MKSLaser APP when the engraver and APP are connected to the same WIFI. Open the MKSLaserTool file. Click on the WiFi configuration tool.

Click Connect and enter the WiFi account and password. Click Connect WiFi. Wait for the word 'ok' to appear in the log below, and click Get IP.

a) How to download the MKSLaser APP
Please search for "MKSLaser" in Google play or app store or visit the address below to download Android system
https://play.google.com/store/apps/details?id=makerbase.com.mkslaser
Please search for "MKSLaser" in the app store or visit the address below to download
https://apps.apple.com/us/app/mkslaser/id1542756280?uo=4&at=11l6hc&app=itunes&ct=fndforApplesystem
b) Home page about the APP

c) Connect APP to WIFI

When the LASER B1 engraver is connected to wifi, we will get an IP address, click the connect button in the upper left corner of the APP, enter the IP address, and click CONNECT.
d) Enter text or take a photo to engrave


Click Creation, choose free drawing or input text, click Next, adjust the brightness and contrast, click Next, set the size, engraving speed,laser power (such as input 1000 for 100% power, and so on), click Frame to confirm the engraving range, click Engrave for working. For picture, it can click Creation, choose camera or album to take or select a photo, click Next, adjust the brightness and contrast, click Next, set the size, engraving speed, laser power (such as input 1000 for 100% power, and so on), click Frame to confirm the engraving range, click Engrave for working. After engraving, click Confirm to enter the Graving View to check the engraving progress, adjustparameters, pause or cancel the engraving process.

e) Control the engraver from APP

f) Engrave from SD files
Click Graving on the home UI, the APP will read the engraving file in the SD card, select the engraving file, click Frame to determine the engraving range, and click Confirm to start engraving.
In the Graving View UI, it can check the engraving progress, adjust speed and laser power, pause or cancel the engraving process.

Note: To use APP for engraving, it needs to insert the SD card into the motherboard firstly to ensure that the data can be received normally; otherwise it will prompt upload error. g) Control the engraving machine through the web page

When the LASER B1 engraver is connected to wifi, we will get an IP address, click the connect button in the upper left corner of the APP, enter the IP address, and click CONNECT.

Enter the IP address in the browser of mobile phone or computer, then the control interface will pop up.

Click SD File tag, it will change to SD file page.Upload “.gcode/.nc”
files generated by “LaserGRBL” or “LightBurn” software.
In the Laser Engraver Features section, you can find detailed guides related to various features available on the Laser B1 series Laser Engraver.
https://www.youtube.com/watch?v=pV4-2mpRy5U
Air pump adapter board without air pump
https://drive.google.com/file/d/1lWGTzVqP_l5h3MWpM-aTw-ZwQfYCsYpM/view
Adapter plate-mounted firmware
https://drive.google.com/file/d/1SOmAf92gD7WQwJgm8CBfith_LNBSiwF2/view
Configuration file
https://drive.google.com/file/d/1yIJmB0o0EbtZdxNmcAtwTnEp-o_NzyDH/view
Laser B1 Series Beginner TutorialLaser B1
https://www.youtube.com/watch?v=hd_UWaXOqcc&list=PLLz1z_0pXsW0L_l_KY3fwcfZtsvPamCPV&index=12
In the Troubleshooting & Solutions section, you can find guides related to the Laser B1 Series where potential issues are listed with solutions on how to solve them.
Adjust the eccentric nut to ensure smooth and stable movement of the parts.
Re-tighten the timing belt.
Adjust the position of the timing pulley to prevent friction between the timing belt and the pulley.
Check for loose screws on the X-axis timing pulley, as well as the couplings and pulleys on the Y-axis.
Ensure that the timing belt is aligned properly on both the upper and lower sides.
Check if the emergency stop switch is in the released position and if the safety lock is in the open position (red indicates the safety lock is open, which prevents the machine from powering on; green indicates it is closed).
Check if the power adapter shows a green light. If not, please contact customer support via email to request replacement parts.
If the power adapter is on but the buzzer is not sounding, try rotating the adapter plug and check if the power cable on the motherboard is loose. Also, ensure the motherboard has a blue light; if not, reconnect the cables.
Try using a different USB cable.
Avoid other software occupying the port; close any other programs that may be using it.
Download and install the CH340 driver. Make sure to download the appropriate driver for your omputer's operating system. Here is the link:https://sparks.gogo.co.nz/ch340.html
Check if the power adapter shows a green light and ensure it is making proper contact (the normal indication is a steady green light). The motherboard should also have its indicator light on.
If the adapter does not light up, it may be faulty; if the adapter is lit, check if the motherboard light is on. If the motherboard is not lit, check if the power cable on the motherboard is loose, and then power off the machine and check if the power switch cable is loose.
If the laser module fan is running but the module is not emitting light, check if the signal wire connecting the laser module to the motherboard is loose. If it is secure, you will need to contact customer support for a replacement laser module.
For 3-5mm thick wood, first ensure that the focusing is set correctly. Go to Lightburn - Edit -Device Setting, and check if the S-value MAX is set to 1000. Then adjust the cutting parameters to 100% power and a speed of 450-800 mm/min.
If the wood is thicker, reduce the focal distance by 1-3mm before cutting.
Check if the lens window of the laser head is contaminated. If it is, clean the lens with a lint-free cloth dampened with alcohol or replace the window lens directly. If the issue persists, request a replacement of the laser head module within the warranty period.
Check if the TTL interface on the motherboard is loose.
Contact customer support to request a motherboard replacement.
Check if the computer and the engraving machine are connected to the same Wi-Fi network.
Ensure that the Wi-Fi name does not contain any special characters.
Connect to a Wi-Fi network with a better signal strength.
After turning off the power, manually rotate the fan to check for any resistance. Ensure that the fan is not scraping against the laser module housing; you can loosen the fan mounting screws if needed.
If the fan bearings are damaged, contact customer support to request a replacement fan.
If the cutting surface is yellow, install the laser air nozzle and ensure the air pump is turned on.
If the cutting surface is carbonized, reduce the laser power or increase the cutting speed.
Check if the air pump is properly connected to the machine and ensure that the air pump valve is in the open position.
In the LightBurn software settings, go to Device Settings under Basic Settings and set Air Assist to "M8" to turn it on. You can also type "M8" in the console to turn it on and "M9" to turn it off.
Open LightBurn, select the correct COM port to connect to the engraving machine, then go to Edit - Device Settings - Air Assist, select M8, and use the console to type "M8" to turn on the air pump or "M9" to turn it off. If the air pump keeps running, the mainboard may need to be replaced; if the air pump is not working, the pump may need to be replaced.
click on "Home" to reset the engraving machine to its zero position. This should resolve the error and allow the machine to operate normally.
In this section, you can find the recommended maintenance guidelines for the X1 series printers, which are designed to ensure smooth operation and a longer service life of the products.
In this section, you can find a step-by-step guide which shows the process of disassembling and installing various parts of the laserB1 series engraving machine.
https://www.youtube.com/watch?v=AArtBq5QYBc&list=PLLz1z_0pXsW0L_l_KY3fwcfZtsvPamCPV
https://www.youtube.com/watch?v=wBb3EQxz-pE&list=PLLz1z_0pXsW0L_l_KY3fwcfZtsvPamCPV&index=3
https://www.youtube.com/watch?v=3HPbCb0w_Mw&list=PLLz1z_0pXsW0L_l_KY3fwcfZtsvPamCPV&index=5
https://www.youtube.com/watch?v=QXMmZZc_7L8&list=PLLz1z_0pXsW0L_l_KY3fwcfZtsvPamCPV&index=9